Ground Zero GZCT 500IV-B Bedienungsanleitung
Ground Zero
Lautsprecher
GZCT 500IV-B
Lies die bedienungsanleitung für Ground Zero GZCT 500IV-B (2 Seiten) kostenlos online; sie gehört zur Kategorie Lautsprecher. Dieses Handbuch wurde von 20 Personen als hilfreich bewertet und erhielt im Schnitt 4.5 Sterne aus 10.5 Bewertungen. Hast du eine Frage zu Ground Zero GZCT 500IV-B oder möchtest du andere Nutzer dieses Produkts befragen? Stelle eine Frage
Seite 1/2

- 1 -
COMPETITION-SERIES
Tweeter
ANLEITUNG / OWNER’S MANUAL
GZCT 500IV-B
• Kompressions-Hochtöner
• Aluminium Kalotte
• Aluminium Gehäuse
• Kunststoff Phase-Plug
• 25 mm kupferbeschichtete Alu-Flachdraht-Schwingspule
o Compression tweeter
o Aluminum dome
o Aluminum cast baffle
o Plastic phase plug
o 1” Copper-clad aluminum flat wire voice coil
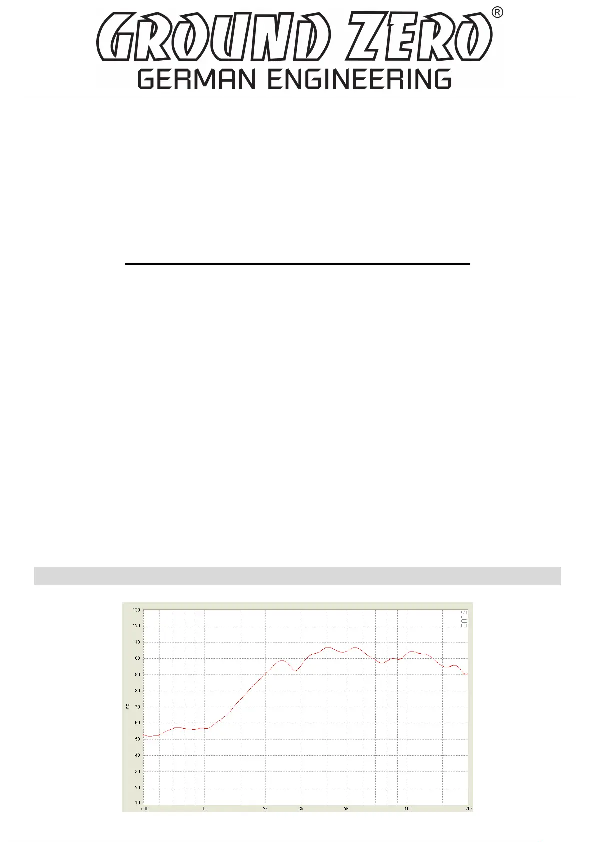
Frequenzgang auf Achse / Frequency response on axis
Produktspezifikationen
| Marke: | Ground Zero |
| Kategorie: | Lautsprecher |
| Modell: | GZCT 500IV-B |
Brauchst du Hilfe?
Wenn Sie Hilfe mit Ground Zero GZCT 500IV-B benötigen, stellen Sie unten eine Frage und andere Benutzer werden Ihnen antworten
Bedienungsanleitung Lautsprecher Ground Zero
2 Oktober 2025
2 Oktober 2025
7 September 2025
7 September 2025
7 September 2025
7 September 2025
7 September 2025
7 September 2025
7 September 2025
7 September 2025
Bedienungsanleitung Lautsprecher
- Berker
- Bang And Olufsen
- Woxter
- Fluid
- LogiLink
- Canyon
- C2G
- Heitech
- LG
- V-Moda
- Tevion
- Audison
- Majority
- Be Cool
- Totem
Neueste Bedienungsanleitung für -Kategorien-
21 Januar 2026
21 Januar 2026
20 Januar 2026
20 Januar 2026
20 Januar 2026
20 Januar 2026
19 Januar 2026
19 Januar 2026
19 Januar 2026
19 Januar 2026