Ilford SFX 200 Bedienungsanleitung
Ilford Nicht kategorisiert SFX 200
Lies die bedienungsanleitung für Ilford SFX 200 (6 Seiten) kostenlos online; sie gehört zur Kategorie Nicht kategorisiert. Dieses Handbuch wurde von 31 Personen als hilfreich bewertet und erhielt im Schnitt 4.3 Sterne aus 16 Bewertungen. Hast du eine Frage zu Ilford SFX 200 oder möchtest du andere Nutzer dieses Produkts befragen? Stelle eine Frage
Seite 1/6

Page 1 of 6 No
v
2018
HARMAN technology Limited
TECHNICAL INFORMATION
SFX 200
BLACK AND WHITE CAMERA FILM WITH EXTENDED RED
SENSITIVITY FOR CREATIVE PHOTOGRAPHY
ILFORD SFX 200 is a medium speed black and white camera film for creative photography. It has extended
red sensitivity (up to 740nm) and is especially suited for use with a red filter to create special effects. For
example, by using a very deep red filter, skies can be rendered almost black, and most green vegetation almost
white. Its unusual tonal rendition ensures interesting results for a range of subjects, including portraits,
landscapes, townscapes and architecture.
Best results are obtained in bright sunshine, or in the studio under tungsten lighting.
SFX also has full panchromatic sensitivity to ensure good pictorial contrast with or without the use of a filter. It
has a wide exposure latitude and is compatible with all normal developers. It has a wide tonal range.
AVAILABILITY
SFX 200 film is coated on 0.125mm/5-mil grey acetate base which gives good halation protections.
SFX 200 is available in 36 exposure DX coded cassettes, suitable for all 35mm cameras.
SFX 200 is also available as120 roll film, edge numbered 1 to 19.
EXPOSURE RATING
SFX 200 has a speed rating of ISO 200/24° to daylight.
The ISO speed rating was measured using ILFORD ID-11 developer at 20°C/68°F with intermittent agitation in
a spiral tank.
It should be noted that the exposure index (EI) range recommended for SFX 200is based on a practical
evaluation of film speed and is not based on foot speed, as is the ISO standard.
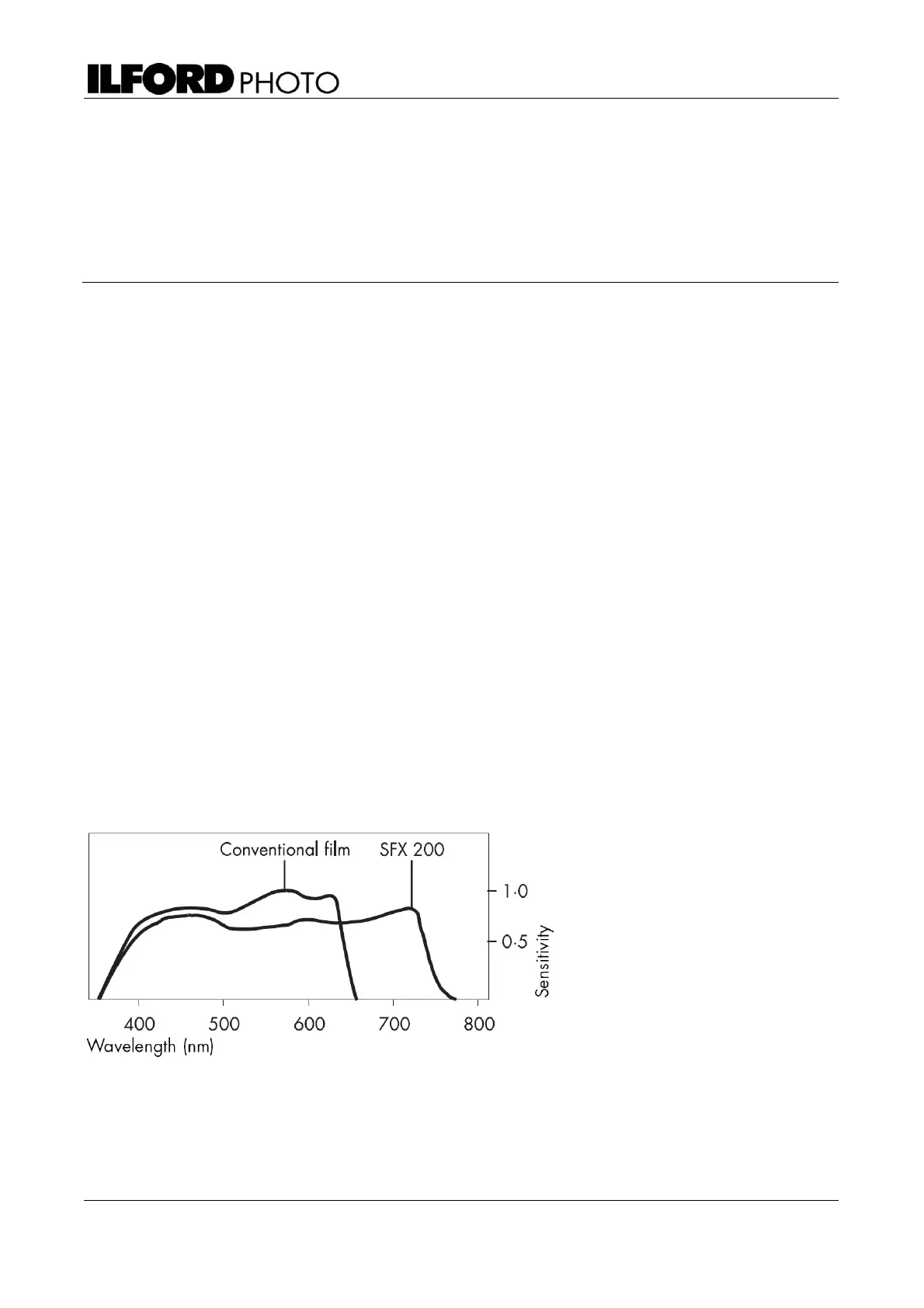
SPECTRAL SENSITIVITY
Wedge spectrogram to tungsten light (2850K)
Produktspezifikationen
| Marke: | Ilford |
| Kategorie: | Nicht kategorisiert |
| Modell: | SFX 200 |
Brauchst du Hilfe?
Wenn Sie Hilfe mit Ilford SFX 200 benötigen, stellen Sie unten eine Frage und andere Benutzer werden Ihnen antworten
Bedienungsanleitung Nicht kategorisiert Ilford
10 Oktober 2025
10 Oktober 2025
10 Oktober 2025
10 Oktober 2025
10 Oktober 2025
10 Oktober 2025
24 August 2024
24 August 2024
7 April 2024
8 Dezember 2023
Bedienungsanleitung Nicht kategorisiert
Neueste Bedienungsanleitung für -Kategorien-
21 Januar 2026
21 Januar 2026
21 Januar 2026
21 Januar 2026
21 Januar 2026
21 Januar 2026
21 Januar 2026
21 Januar 2026
21 Januar 2026
21 Januar 2026